337. House Robber III (M)
https://leetcode.com/problems/house-robber-iii/
The thief has found himself a new place for his thievery again. There is only one entrance to this area, called root.
Besides the root, each house has one and only one parent house. After a tour, the smart thief realized that all houses in this place form a binary tree. It will automatically contact the police if two directly-linked houses were broken into on the same night.
Given the root of the binary tree, return the maximum amount of money the thief can rob without alerting the police.
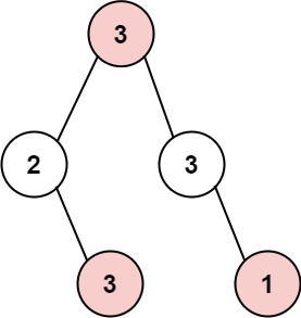
Example 1:

Input: root = [3,2,3,null,3,null,1]
Output: 7
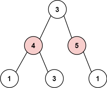
Explanation: Maximum amount of money the thief can rob = 3 + 3 + 1 = 7.Example 2:

Input: root = [3,4,5,1,3,null,1]
Output: 9
Explanation: Maximum amount of money the thief can rob = 4 + 5 = 9.
Constraints:
The number of nodes in the tree is in the range
[1, 104].0 <= Node.val <= 104
Solution:
整体的思路完全没变,还是做抢或者不抢的选择,取收益较大的选择。甚至我们可以直接按这个套路写出代码:
Map<TreeNode, Integer> memo = new HashMap<>();
public int rob(TreeNode root) {
if (root == null) return 0;
// 利用备忘录消除重叠子问题
if (memo.containsKey(root))
return memo.get(root);
// 抢,然后去下下家
int do_it = root.val
+ (root.left == null ?
0 : rob(root.left.left) + rob(root.left.right))
+ (root.right == null ?
0 : rob(root.right.left) + rob(root.right.right));
// 不抢,然后去下家
int not_do = rob(root.left) + rob(root.right);
int res = Math.max(do_it, not_do);
memo.put(root, res);
return res;
}这道题就解决了,时间复杂度 O(N),N为数的节点数。
但是这道题让我觉得巧妙的点在于,还有更漂亮的解法。比如下面是我在评论区看到的一个解法:
int rob(TreeNode root) {
int[] res = dp(root);
return Math.max(res[0], res[1]);
}
/* 返回一个大小为 2 的数组 arr
arr[0] 表示不抢 root 的话,得到的最大钱数
arr[1] 表示抢 root 的话,得到的最大钱数 */
int[] dp(TreeNode root) {
if (root == null)
return new int[]{0, 0};
int[] left = dp(root.left);
int[] right = dp(root.right);
// 抢,下家就不能抢了
int rob = root.val + left[0] + right[0];
// 不抢,下家可抢可不抢,取决于收益大小
int not_rob = Math.max(left[0], left[1])
+ Math.max(right[0], right[1]);
return new int[]{not_rob, rob};
}时间复杂度 O(N),空间复杂度只有递归函数堆栈所需的空间,不需要备忘录的额外空间。
你看他和我们的思路不一样,修改了递归函数的定义,略微修改了思路,使得逻辑自洽,依然得到了正确的答案,而且代码更漂亮。这就是我们前文 动态规划:不同的定义产生不同的解法 所说过的动态规划问题的一个特性。
实际上,这个解法比我们的解法运行时间要快得多,虽然算法分析层面时间复杂度是相同的。原因在于此解法没有使用额外的备忘录,减少了数据操作的复杂性,所以实际运行效率会快。
这样,打家劫舍系列问题就全部解决了,其实也没多难吧?
Last updated
Was this helpful?