106. Construct Binary Tree from Inorder and Postorder Traversal (M)
https://leetcode.com/problems/construct-binary-tree-from-inorder-and-postorder-traversal/
Given two integer arrays inorder and postorder where inorder is the inorder traversal of a binary tree and postorder is the postorder traversal of the same tree, construct and return the binary tree.
Example 1:

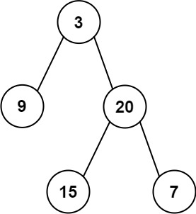
Input: inorder = [9,3,15,20,7], postorder = [9,15,7,20,3]
Output: [3,9,20,null,null,15,7]Example 2:
Input: inorder = [-1], postorder = [-1]
Output: [-1]
Constraints:
1 <= inorder.length <= 3000postorder.length == inorder.length-3000 <= inorder[i], postorder[i] <= 3000inorderandpostorderconsist of unique values.Each value of
postorderalso appears ininorder.inorderis guaranteed to be the inorder traversal of the tree.postorderis guaranteed to be the postorder traversal of the tree.
Solution:
Very similar to LeetCode 105,
这样的遍历顺序差异,导致了 preorder 和 inorder 数组中的元素分布有如下特点:
这道题和上一题的关键区别是,后序遍历和前序遍历相反,根节点对应的值为 postorder 的最后一个元素。
整体的算法框架和上一题非常类似,我们依然写一个辅助函数 build:
TreeNode buildTree(int[] inorder, int[] postorder) {
return build(inorder, 0, inorder.length - 1,
postorder, 0, postorder.length - 1);
}
TreeNode build(int[] inorder, int inStart, int inEnd,
int[] postorder, int postStart, int postEnd) {
// root 节点对应的值就是后序遍历数组的最后一个元素
int rootVal = postorder[postEnd];
// rootVal 在中序遍历数组中的索引
int index = 0;
for (int i = inStart; i <= inEnd; i++) {
if (inorder[i] == rootVal) {
index = i;
break;
}
}
TreeNode root = new TreeNode(rootVal);
// 递归构造左右子树
root.left = build(preorder, ?, ?,
inorder, ?, ?);
root.right = build(preorder, ?, ?,
inorder, ?, ?);
return root;
}现在 postoder 和 inorder 对应的状态如下:
我们可以按照上图将问号处的索引正确填入:
int leftSize = index - inStart;
root.left = build(inorder, inStart, index - 1,
postorder, postStart, postStart + leftSize - 1);
root.right = build(inorder, index + 1, inEnd,
postorder, postStart + leftSize, postEnd - 1);综上,可以写出完整的解法代码:
TreeNode build(int[] inorder, int inStart, int inEnd,
int[] postorder, int postStart, int postEnd) {
if (inStart > inEnd) {
return null;
}
// root 节点对应的值就是后序遍历数组的最后一个元素
int rootVal = postorder[postEnd];
// rootVal 在中序遍历数组中的索引
int index = 0;
for (int i = inStart; i <= inEnd; i++) {
if (inorder[i] == rootVal) {
index = i;
break;
}
}
// 左子树的节点个数
int leftSize = index - inStart;
TreeNode root = new TreeNode(rootVal);
// 递归构造左右子树
root.left = build(inorder, inStart, index - 1,
postorder, postStart, postStart + leftSize - 1);
root.right = build(inorder, index + 1, inEnd,
postorder, postStart + leftSize, postEnd - 1);
return root;
}有了前一题的铺垫,这道题很快就解决了,无非就是 rootVal 变成了最后一个元素,再改改递归函数的参数而已,只要明白二叉树的特性,也不难写出来。
最后呼应下前文,做二叉树的问题,关键是把题目的要求细化,搞清楚根节点应该做什么,然后剩下的事情抛给前/中/后序的遍历框架就行了。
Last updated
Was this helpful?

