654.Maximum Binary Tree (M)
https://leetcode.com/problems/maximum-binary-tree/
You are given an integer array nums with no duplicates. A maximum binary tree can be built recursively from nums using the following algorithm:
Create a root node whose value is the maximum value in
nums.Recursively build the left subtree on the subarray prefix to the left of the maximum value.
Recursively build the right subtree on the subarray suffix to the right of the maximum value.
Return the maximum binary tree built from nums.
Example 1:

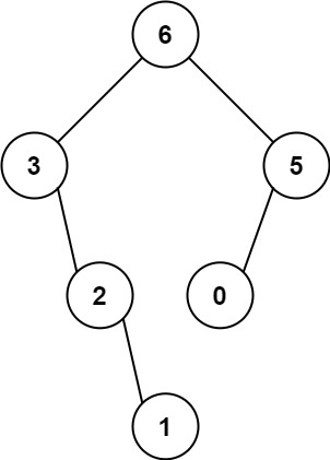
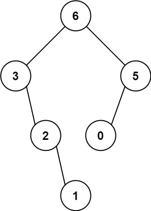
Input: nums = [3,2,1,6,0,5]
Output: [6,3,5,null,2,0,null,null,1]
Explanation: The recursive calls are as follow:
- The largest value in [3,2,1,6,0,5] is 6. Left prefix is [3,2,1] and right suffix is [0,5].
- The largest value in [3,2,1] is 3. Left prefix is [] and right suffix is [2,1].
- Empty array, so no child.
- The largest value in [2,1] is 2. Left prefix is [] and right suffix is [1].
- Empty array, so no child.
- Only one element, so child is a node with value 1.
- The largest value in [0,5] is 5. Left prefix is [0] and right suffix is [].
- Only one element, so child is a node with value 0.
- Empty array, so no child.Example 2:

Input: nums = [3,2,1]
Output: [3,null,2,null,1]
Constraints:
1 <= nums.length <= 10000 <= nums[i] <= 1000All integers in
numsare unique.
Solution:
按照我们刚才说的,先明确根节点做什么?对于构造二叉树的问题,根节点要做的就是把想办法把自己构造出来。
我们肯定要遍历数组把找到最大值 maxVal,把根节点 root 做出来,然后对 maxVal 左边的数组和右边的数组进行递归调用,作为 root 的左右子树。
按照题目给出的例子,输入的数组为 [3,2,1,6,0,5],对于整棵树的根节点来说,其实在做这件事:
TreeNode constructMaximumBinaryTree([3,2,1,6,0,5]) {
// 找到数组中的最大值
TreeNode root = new TreeNode(6);
// 递归调用构造左右子树
root.left = constructMaximumBinaryTree([3,2,1]);
root.right = constructMaximumBinaryTree([0,5]);
return root;
}再详细一点,就是如下伪码:
TreeNode constructMaximumBinaryTree(int[] nums) {
if (nums is empty) return null;
// 找到数组中的最大值
int maxVal = Integer.MIN_VALUE;
int index = 0;
for (int i = 0; i < nums.length; i++) {
if (nums[i] > maxVal) {
maxVal = nums[i];
index = i;
}
}
TreeNode root = new TreeNode(maxVal);
// 递归调用构造左右子树
root.left = constructMaximumBinaryTree(nums[0..index-1]);
root.right = constructMaximumBinaryTree(nums[index+1..nums.length-1]);
return root;
}看懂了吗?对于每个根节点,只需要找到当前 nums 中的最大值和对应的索引,然后递归调用左右数组构造左右子树即可。
明确了思路,我们可以重新写一个辅助函数 build,来控制 nums 的索引:
/* 主函数 */
TreeNode constructMaximumBinaryTree(int[] nums) {
return build(nums, 0, nums.length - 1);
}
/* 将 nums[lo..hi] 构造成符合条件的树,返回根节点 */
TreeNode build(int[] nums, int lo, int hi) {
// base case
if (lo > hi) {
return null;
}
// 找到数组中的最大值和对应的索引
int index = -1, maxVal = Integer.MIN_VALUE;
for (int i = lo; i <= hi; i++) {
if (maxVal < nums[i]) {
index = i;
maxVal = nums[i];
}
}
TreeNode root = new TreeNode(maxVal);
// 递归调用构造左右子树
root.left = build(nums, lo, index - 1);
root.right = build(nums, index + 1, hi);
return root;
}Last updated
Was this helpful?