450. Delete Node in a BST (M)
https://leetcode.com/problems/delete-node-in-a-bst/
Given a root node reference of a BST and a key, delete the node with the given key in the BST. Return the root node reference (possibly updated) of the BST.
Basically, the deletion can be divided into two stages:
Search for a node to remove.
If the node is found, delete the node.
Example 1:

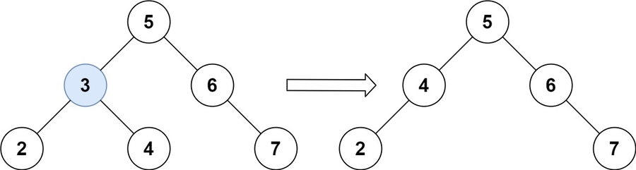
Input: root = [5,3,6,2,4,null,7], key = 3
Output: [5,4,6,2,null,null,7]
Explanation: Given key to delete is 3. So we find the node with value 3 and delete it.
One valid answer is [5,4,6,2,null,null,7], shown in the above BST.
Please notice that another valid answer is [5,2,6,null,4,null,7] and it's also accepted.Example 2:
Input: root = [5,3,6,2,4,null,7], key = 0
Output: [5,3,6,2,4,null,7]
Explanation: The tree does not contain a node with value = 0.Example 3:
Input: root = [], key = 0
Output: []
Constraints:
The number of nodes in the tree is in the range
[0, 104].-105 <= Node.val <= 105Each node has a unique value.
rootis a valid binary search tree.-105 <= key <= 105
Follow up: Could you solve it with time complexity O(height of tree)?
Solution:
删除比插入和搜索都要复杂一些,分三种情况:
情况 1:A 恰好是末端节点,两个子节点都为空,那么它可以当场去世了:

情况 2:A 只有一个非空子节点,那么它要让这个孩子接替自己的位置:

情况 3:A 有两个子节点,麻烦了,为了不破坏 BST 的性质,A 必须找到左子树中最大的那个节点或者右子树中最小的那个节点来接替自己,我的解法是用右子树中最小节点来替换:

详细题解:手把手刷二叉搜索树(第二期)
解法代码
Copy
class Solution {
public TreeNode deleteNode(TreeNode root, int key) {
if (root == null) return null;
if (root.val == key) {
// 这两个 if 把情况 1 和 2 都正确处理了
if (root.left == null) return root.right;
if (root.right == null) return root.left;
// 处理情况 3
// 获得右子树最小的节点
TreeNode minNode = getMin(root.right);
// 删除右子树最小的节点,两种写法:
root.val = minNode.val;
root.right = deleteNode(root.right, minNode.val);
// 写法2:
root.right = deleteNode(root.right, minNode.val);
// 用右子树最小的节点替换 root 节点
minNode.left = root.left;
minNode.right = root.right;
root = minNode;
} else if (root.val > key) {
root.left = deleteNode(root.left, key);
} else if (root.val < key) {
root.right = deleteNode(root.right, key);
}
return root;
}
TreeNode getMin(TreeNode node) {
// BST 最左边的就是最小的
while (node.left != null) node = node.left;
return node;
}
}Last updated
Was this helpful?