549. Binary Tree Longest Consecutive Sequence II (M)
Given the root of a binary tree, return the length of the longest consecutive path in the tree.
A consecutive path is a path where the values of the consecutive nodes in the path differ by one. This path can be either increasing or decreasing.
For example,
[1,2,3,4]and[4,3,2,1]are both considered valid, but the path[1,2,4,3]is not valid.
On the other hand, the path can be in the child-Parent-child order, where not necessarily be parent-child order.
Example 1:

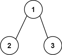
Input: root = [1,2,3]
Output: 2
Explanation: The longest consecutive path is [1, 2] or [2, 1].Example 2:

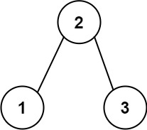
Input: root = [2,1,3]
Output: 3
Explanation: The longest consecutive path is [1, 2, 3] or [3, 2, 1].
Constraints:
The number of nodes in the tree is in the range
[1, 3 * 104].-3 * 104 <= Node.val <= 3 * 104
Solution:
https://www.jiuzhang.com/problem/binary-tree-longest-consecutive-sequence-ii/
Last updated
Was this helpful?