543. Diameter of Binary Tree
Given the root of a binary tree, return the length of the diameter of the tree.
The diameter of a binary tree is the length of the longest path between any two nodes in a tree. This path may or may not pass through the root.
The length of a path between two nodes is represented by the number of edges between them.
Example 1:

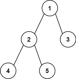
Input: root = [1,2,3,4,5]
Output: 3
Explanation: 3 is the length of the path [4,2,1,3] or [5,2,1,3].Example 2:
Input: root = [1,2]
Output: 1
Constraints:
The number of nodes in the tree is in the range
[1, 104].-100 <= Node.val <= 100
Solution:
现在让我求整棵树中的最长「直径」,那直截了当的思路就是遍历整棵树中的每个节点,然后通过每个节点的左右子树的最大深度算出每个节点的「直径」,最后把所有「直径」求个最大值即可。
最大深度的算法我们刚才实现过了,上述思路就可以写出以下代码:
// 记录最大直径的长度
int maxDiameter = 0;
public int diameterOfBinaryTree(TreeNode root) {
// 对每个节点计算直径,求最大直径
traverse(root);
return maxDiameter;
}
// 遍历二叉树
void traverse(TreeNode root) {
if (root == null) {
return;
}
// 对每个节点计算直径
int leftMax = maxDepth(root.left);
int rightMax = maxDepth(root.right);
int myDiameter = leftMax + rightMax;
// 更新全局最大直径
maxDiameter = Math.max(maxDiameter, myDiameter);
traverse(root.left);
traverse(root.right);
}
// 计算二叉树的最大深度
int maxDepth(TreeNode root) {
if (root == null) {
return 0;
}
int leftMax = maxDepth(root.left);
int rightMax = maxDepth(root.right);
return 1 + Math.max(leftMax, rightMax);
}这个解法是正确的,但是运行时间很长,原因也很明显,traverse 遍历每个节点的时候还会调用递归函数 maxDepth,而 maxDepth 是要遍历子树的所有节点的,所以最坏时间复杂度是 O(N^2)。
这就出现了刚才探讨的情况,前序位置无法获取子树信息,所以只能让每个节点调用 maxDepth 函数去算子树的深度。
那如何优化?我们应该把计算「直径」的逻辑放在后序位置,准确说应该是放在 maxDepth 的后序位置,因为 maxDepth 的后序位置是知道左右子树的最大深度的。
所以,稍微改一下代码逻辑即可得到更好的解法:
// 记录最大直径的长度
int maxDiameter = 0;
public int diameterOfBinaryTree(TreeNode root) {
maxDepth(root);
return maxDiameter;
}
int maxDepth(TreeNode root) {
if (root == null) {
return 0;
}
int leftMax = maxDepth(root.left);
int rightMax = maxDepth(root.right);
// 后序位置,顺便计算最大直径
int myDiameter = leftMax + rightMax;
maxDiameter = Math.max(maxDiameter, myDiameter);
return 1 + Math.max(leftMax, rightMax);
}这下时间复杂度只有 maxDepth 函数的 O(N) 了。
Last updated
Was this helpful?