222. Count Complete Tree Nodes (M)
https://leetcode.com/problems/count-complete-tree-nodes/
Given the root of a complete binary tree, return the number of the nodes in the tree.
According to Wikipedia, every level, except possibly the last, is completely filled in a complete binary tree, and all nodes in the last level are as far left as possible. It can have between 1 and 2h nodes inclusive at the last level h.
Design an algorithm that runs in less than O(n) time complexity.
Example 1:

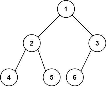
Input: root = [1,2,3,4,5,6]
Output: 6Example 2:
Input: root = []
Output: 0Example 3:
Input: root = [1]
Output: 1
Constraints:
The number of nodes in the tree is in the range
[0, 5 * 104].0 <= Node.val <= 5 * 104The tree is guaranteed to be complete.
Solution:
如果让你数一下一棵普通二叉树有多少个节点,这很简单,只要在二叉树的遍历框架上加一点代码就行了。
但是,如果给你一棵完全二叉树,让你计算它的节点个数,你会不会?算法的时间复杂度是多少?这个算法的时间复杂度应该是 O(logN*logN),如果你心中的算法没有达到高效,那么本文就是给你写的。
首先要明确一下两个关于二叉树的名词「完全二叉树」和「满二叉树」。
我们说的完全二叉树如下图,每一层都是紧凑靠左排列的:
我们说的满二叉树如下图,是一种特殊的完全二叉树,每层都是是满的,像一个稳定的三角形:
说句题外话,关于这两个定义,中文语境和英文语境似乎有点区别,我们说的完全二叉树对应英文 Complete Binary Tree,没有问题。但是我们说的满二叉树对应英文 Perfect Binary Tree,而英文中的 Full Binary Tree 是指一棵二叉树的所有节点要么没有孩子节点,要么有两个孩子节点。如下:
以上定义出自 wikipedia,这里就是顺便一提,其实名词叫什么都无所谓,重要的是算法操作。本文就按我们中文的语境,记住「满二叉树」和「完全二叉树」的区别,等会会用到。
一、思路分析
现在回归正题,如何求一棵完全二叉树的节点个数呢?
// 输入一棵完全二叉树,返回节点总数
int countNodes(TreeNode root);如果是一个普通二叉树,显然只要向下面这样遍历一边即可,时间复杂度 O(N):
public int countNodes(TreeNode root) {
if (root == null) return 0;
return 1 + countNodes(root.left) + countNodes(root.right);
}那如果是一棵满二叉树,节点总数就和树的高度呈指数关系:
public int countNodes(TreeNode root) {
int h = 0;
// 计算树的高度
while (root != null) {
root = root.left;
h++;
}
// 节点总数就是 2^h - 1
return (int)Math.pow(2, h) - 1;
}完全二叉树比普通二叉树特殊,但又没有满二叉树那么特殊,计算它的节点总数,可以说是普通二叉树和完全二叉树的结合版,先看代码:
public int countNodes(TreeNode root) {
TreeNode l = root, r = root;
// 记录左、右子树的高度
int hl = 0, hr = 0;
while (l != null) {
l = l.left;
hl++;
}
while (r != null) {
r = r.right;
hr++;
}
// 如果左右子树的高度相同,则是一棵满二叉树
if (hl == hr) {
return (int)Math.pow(2, hl) - 1;
}
// 如果左右高度不同,则按照普通二叉树的逻辑计算
return 1 + countNodes(root.left) + countNodes(root.right);
}结合刚才针对满二叉树和普通二叉树的算法,上面这段代码应该不难理解,就是一个结合版,但是其中降低时间复杂度的技巧是非常微妙的。
二、复杂度分析
开头说了,这个算法的时间复杂度是 O(logN*logN),这是怎么算出来的呢?
直觉感觉好像最坏情况下是 O(N*logN) 吧,因为之前的 while 需要 logN 的时间,最后要 O(N) 的时间向左右子树递归:
return 1 + countNodes(root.left) + countNodes(root.right);关键点在于,这两个递归只有一个会真的递归下去,另一个一定会触发 hl == hr 而立即返回,不会递归下去。
为什么呢?原因如下:
一棵完全二叉树的两棵子树,至少有一棵是满二叉树:
看图就明显了吧,由于完全二叉树的性质,其子树一定有一棵是满的,所以一定会触发 hl == hr,只消耗 O(logN) 的复杂度而不会继续递归。
综上,算法的递归深度就是树的高度 O(logN),每次递归所花费的时间就是 while 循环,需要 O(logN),所以总体的时间复杂度是 O(logN*logN)。
所以说,「完全二叉树」这个概念还是有它存在的原因的,不仅适用于数组实现二叉堆,而且连计算节点总数这种看起来简单的操作都有高效的算法实现。
Last updated
Was this helpful?



