96. Unique Binary Search Trees
https://leetcode.com/problems/unique-binary-search-trees/
Given an integer n, return the number of structurally unique BST's (binary search trees) which has exactly n nodes of unique values from 1 to n.
Example 1:

Input: n = 3
Output: 5Example 2:
Input: n = 1
Output: 1
Constraints:
- 1 <= n <= 19
Solution:
这就是一个正宗的穷举问题,那么什么方式能够正确地穷举合法 BST 的数量呢?
我们前文说过,不要小看「穷举」,这是一件看起来简单但是比较有技术含量的事情,问题的关键就是不能数漏,也不能数多,你咋整?
之前 手把手刷二叉树第一期 说过,二叉树算法的关键就在于明确根节点需要做什么,其实 BST 作为一种特殊的二叉树,核心思路也是一样的。
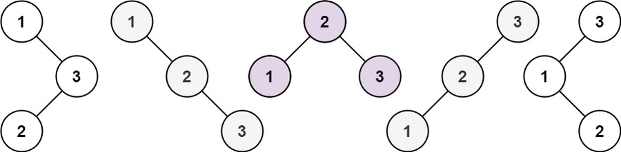
举个例子,比如给算法输入n = 5,也就是说用{1,2,3,4,5}这些数字去构造 BST。
首先,这棵 BST 的根节点总共有几种情况?
显然有 5 种情况对吧,因为每个数字都可以作为根节点。
比如说我们固定3作为根节点,这个前提下能有几种不同的 BST 呢?
根据 BST 的特性,根节点的左子树都比根节点的值小,右子树的值都比根节点的值大。
所以如果固定3作为根节点,左子树节点就是{1,2}的组合,右子树就是{4,5}的组合。
左子树的组合数和右子树的组合数乘积就是3作为根节点时的 BST 个数。

我们这是说了3为根节点这一种特殊情况,其实其他的节点也是一样的。
那你可能会问,我们可以一眼看出{1,2}和{4,5}有几种组合,但是怎么让算法进行计算呢?
其实很简单,只需要递归就行了,我们可以写这样一个函数:
// 定义:闭区间 [lo, hi] 的数字能组成 count(lo, hi) 种 BST
int count(int lo, int hi);根据这个函数的定义,结合刚才的分析,可以写出代码:
/* 主函数 */int numTrees(int n) {    
// 计算闭区间 [1, n] 组成的 BST 个数    
return count(1, n);}
/* 计算闭区间 [lo, hi] 组成的 BST 个数 */
int count(int lo, int hi) {    
// base case    
if (lo > hi) return 1;    
int res = 0;    
for (int i = lo; i <= hi; i++) 
{        
// i 的值作为根节点 root        
int left = count(lo, i - 1);        
int right = count(i + 1, hi);        
// 左右子树的组合数乘积是 BST 的总数       
 res += left * right;    
 }    
 return res;
 }注意 base case,显然当lo > hi闭区间[lo, hi]肯定是个空区间,也就对应着空节点 null,虽然是空节点,但是也是一种情况,所以要返回 1 而不能返回 0。
这样,题目的要求已经实现了,但是时间复杂度非常高,肯定存在重叠子问题。
前文动态规划相关的问题多次讲过消除重叠子问题的方法,无非就是加一个备忘录:
// 备忘录int[][] memo;
int numTrees(int n) 
{    
// 备忘录的值初始化为 0    
memo = new int[n + 1][n + 1];    
return count(1, n);
}
int count(int lo, int hi) 
{    if (lo > hi) return 1;    
// 查备忘录    
if (memo[lo][hi] != 0) 
{        return memo[lo][hi];    }   
 int res = 0;    
 for (int mid = lo; mid <= hi; mid++) 
 {       
   int left = count(lo, mid - 1);       
   int right = count(mid + 1, hi);      
    res += left * right;    
 }    
   // 将结果存入备忘录    
   memo[lo][hi] = res;   
   return res;
 }这样,这道题就完全解决了。
Last updated
Was this helpful?