323. Number of Connected Components in an Undirected Graph (M)
You have a graph of n nodes. You are given an integer n and an array edges where edges[i] = [ai, bi] indicates that there is an edge between ai and bi in the graph.
Return the number of connected components in the graph.
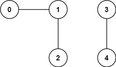
Example 1:

Input: n = 5, edges = [[0,1],[1,2],[3,4]]
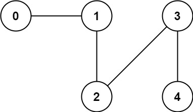
Output: 2Example 2:

Input: n = 5, edges = [[0,1],[1,2],[2,3],[3,4]]
Output: 1
Constraints:
1 <= n <= 20001 <= edges.length <= 5000edges[i].length == 20 <= ai <= bi < nai != biThere are no repeated edges.
Solution:
Last updated
Was this helpful?