114. Flatten Binary Tree to Linked List(M)
https://leetcode.com/problems/flatten-binary-tree-to-linked-list/
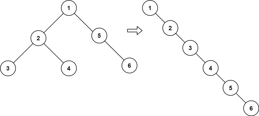
Input: root = [1,2,5,3,4,null,6]
Output: [1,null,2,null,3,null,4,null,5,null,6]Input: root = []
Output: []Input: root = [0]
Output: [0]Solution 1:
Solution 2: (Non-recursive pre-order traversal)
Other Solution:
Last updated

