297. Serialize and Deserialize Binary Tree (H)
https://leetcode.com/problems/serialize-and-deserialize-binary-tree/
Serialization is the process of converting a data structure or object into a sequence of bits so that it can be stored in a file or memory buffer, or transmitted across a network connection link to be reconstructed later in the same or another computer environment.
Design an algorithm to serialize and deserialize a binary tree. There is no restriction on how your serialization/deserialization algorithm should work. You just need to ensure that a binary tree can be serialized to a string and this string can be deserialized to the original tree structure.
Clarification: The input/output format is the same as how LeetCode serializes a binary tree. You do not necessarily need to follow this format, so please be creative and come up with different approaches yourself.
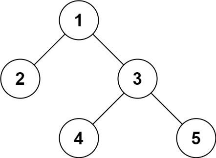
Example 1:

Input: root = [1,2,3,null,null,4,5]
Output: [1,2,3,null,null,4,5]Example 2:
Input: root = []
Output: []Example 3:
Input: root = [1]
Output: [1]Example 4:
Input: root = [1,2]
Output: [1,2]
Constraints:
The number of nodes in the tree is in the range
[0, 104].-1000 <= Node.val <= 1000
Solution:
DFS 建树,DFS拆树(前序,后序。 中序因为不知道ROOT节点在数组当中的确切位置所以不行。)
BFS建树,BFS拆树。
https://mp.weixin.qq.com/s/DVX2A1ha4xSecEXLxW_UsA
https://www.jiuzhang.com/problem/serialize-and-deserialize-binary-tree/
Last updated
Was this helpful?